ABB has introduced Sensi+ NG, a compact natural gas contaminant analyzer based on a unique tunable diode laser (TDL) technology known as Off-Axis Integrated Cavity Output Spectroscopy (OA-ICOS). The technology accurately, reliably and simultaneously measures corrosive substances such as hydrogen sulfide, carbon dioxide, water and oxygen in real time in complex and time-varying natural gas streams.
Every field-installed analytical instrument will be exposed to varying ambient temperatures, whether from diurnal or seasonal cycles; this is unavoidable. Temperature variations can influence a variety of internal components, leading to a cumulative negative effect on final measurements. Electronic components can influence both the primary instrument signal and peripheral sensors for temperature and pressure. Examples include resistors, where resistance changes with temperature, and amplifiers, where offset and gain can drift. Opto-mechanical components are susceptible to thermal expansion or stress, leading to changes in alignment. Additionally, spectroscopic absorption features change in strength and shape as a function of gas temperature.
Some instruments are thermally controlled by insulating the entire analyzer, or particularly sensitive components, from ambient temperature variations and adding heaters or thermoelectric coolers. This is required when the electronics, opto-mechanical components, or spectroscopic technique are too sensitive to temperature variations to operate without thermal control. Unfortunately, thermal control adds size, weight and power, and increases the cost of an instrument.
For more than 15 years, ABB’s OA-ICOS laser absorption technology has been at the core of some of the world’s most reliable gas analyzers, used for applications requiring the highest overall performance in demanding conditions. OA-ICOS is optically simple, requiring only a collimating optic, two highly reflective mirrors and a collection lens. In addition, the off-axis alignment does not require fine-tuning to match cavity modes. This robust opto-mechanical design minimizes potential thermal influences that complicate other TDL technologies based on cavity ringdown spectroscopy or multi-pass cells. This proven technology has been updated with customized electronics and recent advances in spectroscopic analysis algorithms to deliver accurate measurements over varying conditions.
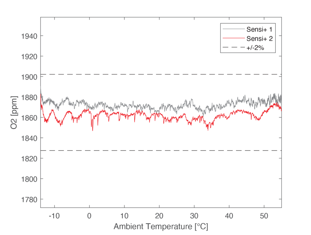
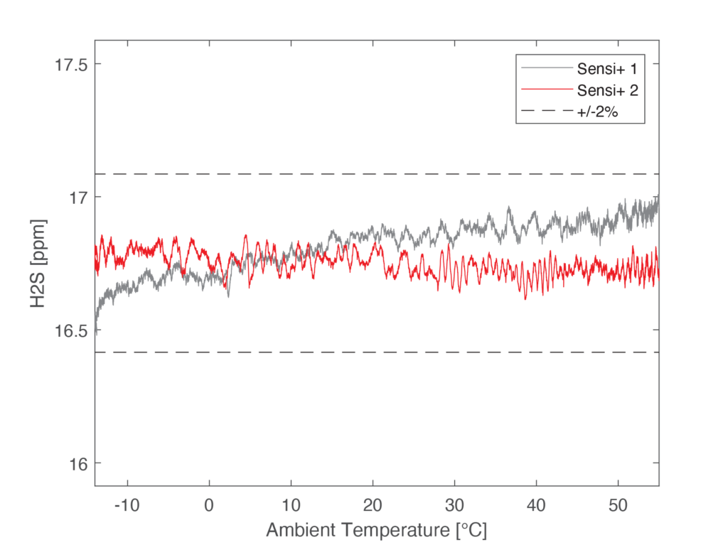
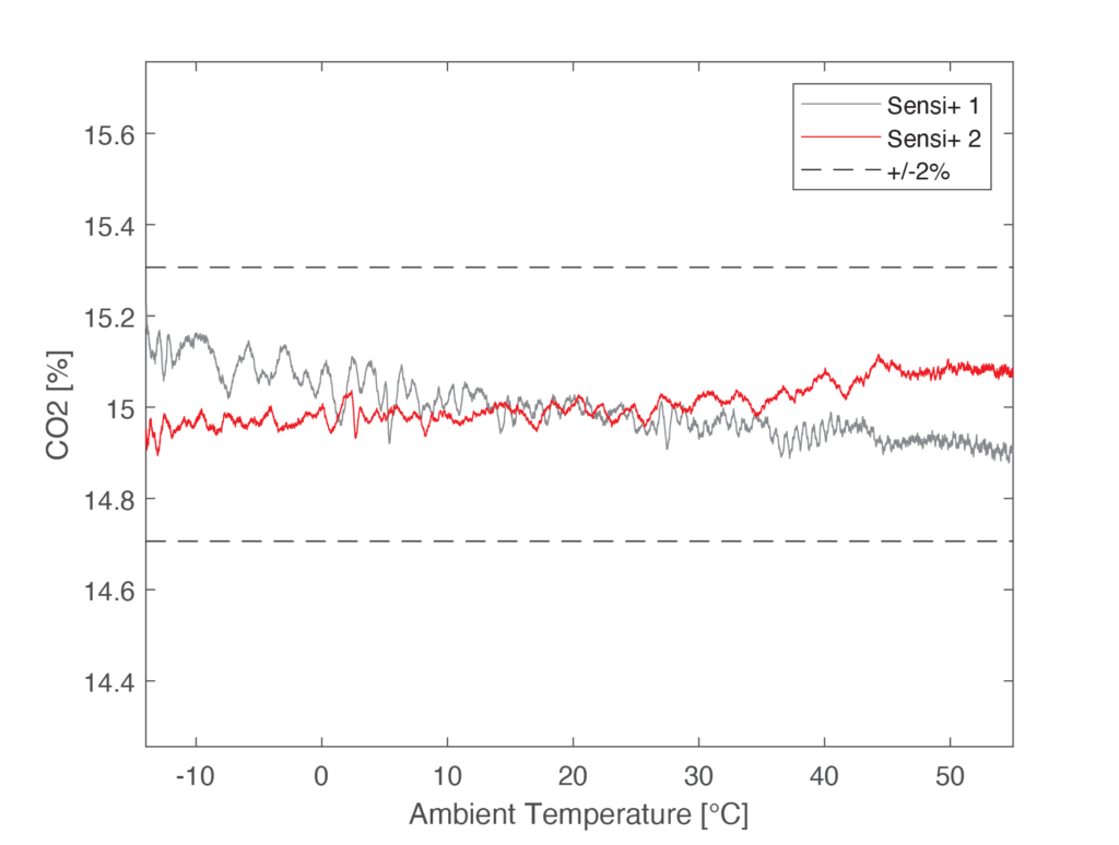
Sensi+ NG analyzers have been tested for reliability and performance across the full operating temperature range of -14°C to 55°C (7°F to 130°F). Measurements of all gas contaminants at various concentrations were repeatable and accurate. To illustrate this, two Sensi+ NG analyzers configured to measure H2 S, CO2, H2 O and O2 were installed in parallel inside an environmental chamber measuring a natural gas stream containing contaminants, while the ambient temperature increased at a rate of 15°C per hour. As shown in Figure 1, both analyzers exhibit some measurement oscillations of the contaminant gases, but they are relatively small and bounded such that the overall measurements remain consistent and stay within ±2% of the nominal value.
While ambient temperature variation is expected in field-deployed analytical instruments, measurement dependence on temperature should not be. The simplicity and robustness of OA-ICOS are optimized to minimize the impact of these fluctuations. Reliable measurement of natural gas contaminants under varying conditions is possible with Sensi+ NG.














